Cordyceps sinensis (syn. Ophiocordyceps sinensis, Caterpillar mushroom, Maczużnik chiński yarchagumbu, aweto) sznur i głowa z łac.
Jest to grzyb należący do królestwa Fungi i gromady Ascomyta (workowce). O prócz C. sinensis spośród 700 rodzajów tego grzyba 20 gatunków pasożytuje na grzybach rodzaju Elaphomyces, natomiast pozostałe gatunki pasożytują na stawonogach i owadach.
Jest to grzyb pasożytniczy, u którego w cyklu życiowym biorą udział gąsienice ćmy z rodz. Thitarodes (rząd: motyle Lepidoptera). Ich niedojrzałe larwy zimują w pobliżu korzeni rdestu oraz turzycy, około 15 cm pod powierzchnią ziemi. Jesienią zarodniki grzyba atakują gąsienice i wykorzystują ich substancje odżywcze. Polega to na tym, że grzyb wypełnia ciało owada i w ten sposób rozwija się dojrzałą forma grzyba. Po przezimowaniu, ciało żywiciela jest rozrywane i Cordyceps zaczyna tworzyć owocniki, które z czasem zaczynają wystawać ponad ziemię. Trzon owocnika ma kolor od ciemnobrązowego do czarnego, natomiast przerośnięte grzybnią ciało larwalne ma kolor od żółtego do brązowego. W środowisku naturalnym zbiór maczużnika rozpoczyna się w kwietniu i kończy w sierpniu. Rośnie on na wysokości 3500 – 3800 m n.p.m. głównie w Tybecie, Nepalu oraz w kilku chińskich prowincjach. Niestety w związku z nadmierną eksploatacją grzyba oraz bardzo wysoka wartością rynkową, grzyb ten praktycznie nie występuje w swoich naturalnych siedliskach. Dlatego ze względu na jego cenne właściwości lecznicze zaczęto go uprawiać na masową skalę w bioreaktorach. Uprawia się go bez udziału larw wykorzystując fermentację powierzchniową oraz fermentację zanurzeniową. Ponieważ otrzymana grzybnia może mieć różną zawartość związków biologicznie czynnych, bada się w niej poziom adenozyny, kordycepiny oraz N-6 (2-hydroksyetylo)-adenozyny.
W Azji Cordyceps znany jest już od tysięcy lat. Wykorzystywany był w leczeniu cukrzycy, zapaleniu oskrzeli, chorobach płuc,astmie, gruźlicy, serca, nerek oraz przy osłabieniu i obniżonym libido.

Fot. Cordyceps sinensis
Do najważniejszych substancji czynnych należą nukleozydy (adenozyna i kordycepina), polisacharydy, sterole, białka, aminokwasy, peptydy oraz kwas gammaaminomasłaowy (GABA), lowostatyna, myriocyna oraz kordysinina i melanina.

Rolą nukleozydów jest modulacja i regulacja procesów fizjologicznych w organizmie, wzmocnienie odpowiedzi immunologicznej. Mają również wpływ na metabolizm kwasów tłuszczowych oraz są prekursorami w syntezie kwasów nukleinowych. Naukowcom udało się wyizolować z owocników i grzybni 10 nukleozydów min. adenozyną, kordycepinę, urydynę, cytydynę, guanozynę, tymidynę i inozynę. Co ciekawe, zawartość nukleozydów w grzybach hodowlanych jest wyższa niż grzybach występujących w środowisku naturalnym, a po zwiększeniu temperatury do 40°C i wilgotności do 75%, po 10 dniach może wzrosnąć 10-krotnie.
Adenozyna jest nukleozydem, który ma wpływ na prawidłowy przebieg wielu procesów chemicznych w organizmie. Jednym z jej zadań jest regulowanie układu immunologicznego, a konkretnie odpowiedzi immunologicznej. W warunkach stresu metabolicznego, infekcji, zapalenia lub niedotlenienia organizmu stężenie adenozyny gwałtownie wzrasta i wiąże się ona ze zlokalizowanymi na powierzchni komórek układu immunologicznego receptorami, a przez to zwiększa zwiększa aktywność limfocytów i wpływa na prezentację antygenu. Badania wykazały, że adenozyna hamuje wzrost komórek kancerogennych – w wysokich stężeniach wpływa na zdolność ich rozpoznawania przez układ immunologiczny oraz stymuluje odpowiedź immunologiczną. Adenozyna ma również zdolność zwiększania produkcji reaktywnych form tlenu w nowotworzonych komórkach wątroby.
Kordycepina jest strukturalnie bardzo podobna do adenozyny, a ponieważ enzymy nie rozróżniają jej – może uczestniczyć w reakcjach syntezy kwasów nukleinowych. Kordycepina dezintegruje strukturę chorobotwórczych wirusów oraz bakterii poprzez zaburzanie ich łańcuchów DNA i RNA.
Wykazuje ona działanie przeciwbakteryjne, przeciwwirusowe, przeciwzapalne, zwiększa proliferację i wydzielanie limfocytów T i B oraz aktywność komórek NK, które zabijają komórki zakażone wirusem oraz komórki nowotworowe. Ponadto kordycepina ma zdolność ochrony komórek i tkanek przed uszkodzeniem oksydacyjnym oraz zwiększa wydzielanie IFN-γ – silnego aktywatora makrofagów. Kordycepina aktywnie wpływa na ludzkie wirusy tj. adenowirusy, wirus dengi, wirus zapalenia wątroby typu B i C, HIV, ludzki wirus polio i brodawczaka i sówki, wirusy grypy, rotawirusy oraz wiele innych. Jej działanie przeciwwirusowe polega na blokowaniu namnażaniu wirusów.
Przeciwnowotworowe właściwości kordycepiny potwierdziły liczne badania na nowotworowych komórkach myszy oraz badania in vitro na komórkach raka pęcherzyka żółciowego. Obiecująco wyglądają również badania wpływu kordycepiny na komórki rakowe mózgu. Kordycepina w połączeniu z inhibitorem autofagii – chlorochiną powodowała zahamowanie wzrostu i zwiększenie śmiertelności komórek nowotworowych mózgu. Naukowcy pod lupę również wzięli chorobę Parkinsona, której przyczyna jak dotąd nie została poznana. Uważa się, że być może degeneracja neuronów związana jest ze stresem oksydacyjnym. Być może kordycepina będzie mogła powstrzymać ten proces poprzez wzrost aktywności enzymów antyoksydacyjnych w komórkach.
Polisacharydy w maczużniku chińskim wykazują działanie immunomodulujące, przeciwwirusowe, przeciwnowotworowe, przeciwutleniające, hipocholesterolemiczne i hipoglikemizujące. Działanie immunostymulujące polega min. na wzmacnianiu funkcji fagocytarnej monocytów i monofagów. Na uwagę zasługują tutaj polisacharydy tj. EPS, APS, CPS-1. Pozakomórkowa frakcja EPS ma działanie przeciwnowotworowe oraz immunostymulujące. Badania przeprowadzone na myszach zainfekowanych rakiem wątroby wykazały, że wstrzykiwanie frakcji EPS przez 7 dni znacznie zahamowała przerzuty na sąsiadujące narządy. Podobnie się działo w przypadku myszy zainfekowanych czerniakiem.
Z kolei polisacharyd APS, składający się z mannozy, glukozy i galaktozy w proporcji 3,3 : 2,3 : 1 wykazuje zdolność do zwiększania aktywności enzymów antyoksydacyjnych i makrofagów u szczurów z guzem chromochłonnym szczurów.
CPS-1 jest polisacharyd, który z ma odmienne do APS proporcje glukozy, mannozy i galaktozy (1: 0,6: 0,75). Glukomannogalaktan ten jest silnym przeciwutleniaczem, obniża poziom cukru we krwi oraz zmniejsza niewydolność nerek u badanych szczurów.
Ergosterol to mykosterol, który stanowi główny składnik błon komórkowych grzybów, ulegający pod wpływem promieniowania fotolizie i przekształcający się do do witaminy D2. Badania wykazały, że wykazuje on aktywność przeciwgrzybiczą do Candida albicans oraz antybakteryjną w stosunku do Enterobacter aerogenes oraz Pseudomonas aeruginosa.
H1-A to sterol strukturą przypominający testosteron i dehydroepiandrosteron. Badania na myszach wykazały, że może być on pomocny w leczeniu niektórych schorzeń autoimmunologicznych.
Spośród aminokwasów i polipeptydów na uwagę zasługuje ergotioneina, która chroni komórki przed stresem oksydacyjnym, działająca przeciwzapalnie kordymina i kordysynina oraz wykazująca działanie przeciwutleniające melanina.
Lecznicza dawka maczużnika chińskiego wynosi od 3 do 4,5 grama dziennie. Jak dotąd nie wykazano, aby oprócz niewielkich dolegliwości ze strony układu pokarmowego wykazywały one nieprzyjemne skutki uboczne. Osoby, które cierpią na choroby autoimmunologiczne powinny skonsultować przyjmowanie Cordycepsu z lekarzem prowadzącym, ponieważ może on nasilać objawy choroby. Ze względu na właściwości hipoglikemiczne oraz antywirusowe należy również zachować ostrożność podczas łączenia preparatu z maczużnika z lekami przeciwcukrzycowymi oraz przeciwwirusowymi. Jak do tej pory nie przeprowadzono badań określających bezpieczeństwo stosowania grzyba przez kobiety w ciąży oraz karmiące piersią.
Laetiporus sulphureus (Bull.) – Żółciak siarkowy, Żagiew topolowa, Grzyb siarkowy, Huba żółta, Huba siarkowa, Grzyb siarkowy
L. sulphureus jest to grzyb należący do gromady podstawczaków od jasno lub kremowożłótej do złotopomarańczowej lub pomarańczowej barwie. Grzyb o średnicy 10-14 cm przyrasta bokiem do drzewa, a jego owocniki rosną jeden nad drugim. Początkowo ma kształt bulwkowaty, ale z czasem przybierają postać wachlarzowata o nieregularnym kształcie. Najczęściej można go spotkać od maja do września. Żółciak siarkowy powoduje rozkład drzew na których przyrasta. Atakuje on najczęściej drzewa liściaste tj. topole, wierzby, dęby, śliwy, jabłonie, robinie, olsze oraz klony. Rzadziej drzewa iglaste. Może jednak rosnąć na łodziach, słupach oraz drewnianych płotach, których drewno prawdopodobnie zostało zainfekowane jeszcze za życia drzewa. Młode osobniki nadają się do jedzenia ze względu na delikatny smak, starsze mają nieprzyjemny zapach i gorzkawy smak oraz korkową strukturę. Po spożyciu Laetiporus sulphureus odnotowano jednak działania niepożądane. były to najczęściej nudności, wymioty oraz zawroty głowy. Nie wiadomo jednak, dlaczego tylko niektórzy ludzie w taki sposób reagują na zjedzenie żółciaka. Być może jest to związane ze spożyciem niedogotowanego lub surowego grzyba lub gatunkiem drzewa, na którym rósł.

Fot. Laetiporus sulphureus
Badania dotyczące składu grzyba siarkowego wykazały, że głównym jego składnikiem są węglowodany – przede wszystkim trehaloza oraz mannitol. Z polisacharydów w największej ilości występują α-(1,3)-D-glukany, stanowiące aż 88% ich ściany komórkowej. najważniejsze z nich to laminaryna oraz fukomannogalaktan. Związki te mają właściwości przeciwwirusowe, przeciwzapalne, immunostymulujące, antynowotworowe oraz antyoksydacyjne i hipoglikemiczne. Wykazano również obecność kompleksu polisacharydowo-proteinowego, składającego się z 84% polisacharydów oraz 5% protein.
Z białek wyróżnić można a działające hemolitycznie i hemaglutynująco lektyny.
Badania wykazały, że w L. sulphureus obecnych jest aż 31 kw. tłuszczowych. Są to przede wszystkim kw. oleinowy, linolowy oraz palmitynowy, które korzystnie wpływają na układ krążenia. Ponadto grzyb ten jest bogaty w związki triterpenowe o charakterze estrów, eterów, aldehydów, kwasów, alkoholi, laktonów, glikozydów, które mają działanie cytotoksyczne i przeciwnowotworowe. Wyizolowano również 7 związków fenolowych min. wykazującą działanie przeciwzapalne, przeciwnowotworowe, przeciwwirusowe i antyoksydacja kwercetynę.
Oprócz wymienionych związków naukowcy wyizolowali nadający żółtą lub pomarańczową barwę barwnik jakim jest kwas laetiporowy A oraz 26 lotnych związków, które odpowiadają za zapach żółciaka.
Polskim naukowcom udało się zidentyfikować 42 z 49 oznaczonych związków. jednym z nich jest tymol działający na na bakterie antybiotykoodporne, wirusy oraz grzyby. Ma on również działanie odkrztuszanie, poprzez drażnienie błony śluzowej oskrzeli a przez to rozrzedzenie zalegającej w niej wydzieliny. Z żółciak siarkowego wyizolowano również witaminę B3 , powodującą spadek frakcji LDL cholesterolu oraz wzrost frakcji HDL oraz skwalen, wykazujący działanie chemoprewencyjne oraz zmniejsza efekty uboczne chemioterapii.
Badania in vitro wodnych rozcieńczeń Żagwi topolowej wykazały, że grzyb ten ma właściwości przeciwgrzybicze i przeciwbakteryjne. Przeciwgrzybicze właściwości były na tyle znaczące, że żółciak może być brany pod uwagę jako środek grzybobójczy. Działanie przeciwgrzybiczne ekstraktu wykazano przeciwko wszystkim testowanym grzybom (MIC 0,30 mg/ml), niższą w porównaniu z ketokonazolem, ale na tyle wysoką, żeby badany ekstrakt mógł być brany pod uwagę jako środek grzybobójczy (15).
Przeciwzapalne działanie Laetiporus sulphureus var. miniatur były obiektem badań w Korei. Badanie wykonano na myszach, które zostały “zainfekowane” komórkami mikrogleju BV2, i dodatkowo stymulowane lipopolisacharydami. Ustalono, że wyizolowane egzopolisacharydy hamują działanie prozapalne i nie wykazują przy tym działania cy toksycznego. Daje to nadzieję na wykorzystanie żółciaka w tego typu jednostkach chorobowych.
Z kolei przeciwnowotworowe działanie Żółciaka siarkowego badano poprzez zastosowanie wyizolowanych triterpenów. Niektóre z tych związków wykazywały hamowania proliferacji komórek nowotworowych ludzkich komórek białaczki szpikowej.
Innym związkiem wykazującym działanie cytostatyczne jest (±)-laetirobina, która jest w stanie zablokować podział i wywołać apoptozę w komórkach nowotworowych. Nie udało się jednak ustalić, czy antynowotworowe właściwości grzyba są spowodowane samym grzybem, czy drzewem, na którym rósł (w tym wypadku była to robinia akacjowa).
Natomiast wyizolowany nadtlenek ergosterolu wykazuje duże działanie cytotoksyczne przeciwko komórkom nowotworu żołądka oraz wątrobiaka u ludzi. Słabiej natomiast działa na komórki nowotworowe jelita grubego.
Wodne, metanolowo-wodne oraz metanolowe wyciągi z owocnika L. sulphureus wykazało ich działanie antyoksydacyjne.
Trametes versicolor (L.) Lloyd, Coriolus versicolor (L.) Quel – Wroślak różnobarwny, Żagiew różnobarwna.
Jest to gatunek grzyba z rodzaju żagwiowatych z gromady podstawczaków o szerokości 3–8 cm oraz grubości 2–5 mm, przyrastający do drzewa środkowo lub bokiem. Kształt wroślaka zależy właśnie od sposobu przyrośnięcia – przy bocznym ma kształt konsolowaty, przy środkowym z kolei rozetowaty lub talerzowaty. Zabarwienie Coriolusa zależy od wieku grzyba. Młode grzyby mają barwę jasnobrązową i jednolitą natomiast starsze są koloru od brązowawego poprzez ciemnoniebieski aż do barwy czarnej, przy czym barwa rozmieszczona jest koncentrycznie. Jeżeli na owocniku rozwijają się glony, to przybiera on barwę zielonkawą.

Fot. Trametes versicolor

Fot.Trametes versicolor
Jest to gatunek typowo saprofityczny, który wywołuje chemiczny rozkład ścian komórkowych na zaatakowanym drewnie i doprowadza do zgnilizny białej. Trametes versicolor występuje na wszystkich kontynentach z wyjątkiem Antarktydy. W Polsce można spotkać go praktycznie wszędzie z wyjątkiem wysokich gór. Najczęściej rośnie na różnych odmianach wierzb, klonach, jodłach pospolitych, brzozie brodawkowatej,różnych gatunkach leszczyn, olszy, grabów, buków, topoli, dębów, jesionów, kasztanowcu pospolitym, jabłoni domowej, czeremsze zwyczajnej, świerku pospolitym, jarząbie pospolitym oraz kalinie koralowej.
Coriolus jest od kilku tysięcy lat stosowany w tradycyjnej medycynie chińskiej. Grzyb ten jest stosowany w postaci naparów – w chorobach dolnych dróg oddechowych jako środek zmniejszający ilość flegmy oraz w celu odprowadzenia wilgoci z organizmu. Jest on również stosowany w celu podniesienia energii witalnej oraz wzmocnienie psychiki. Musi być jednak stosowany regularnie. Badania prowadzone na wroślaku potwierdziły, że ma on szerokie działanie lecznicze. Odpowiedzialne są za to przed wszystkim polisacharydy, kompleksy białkowo-polisacharydowe oraz terpeny i związki polifenolowe.
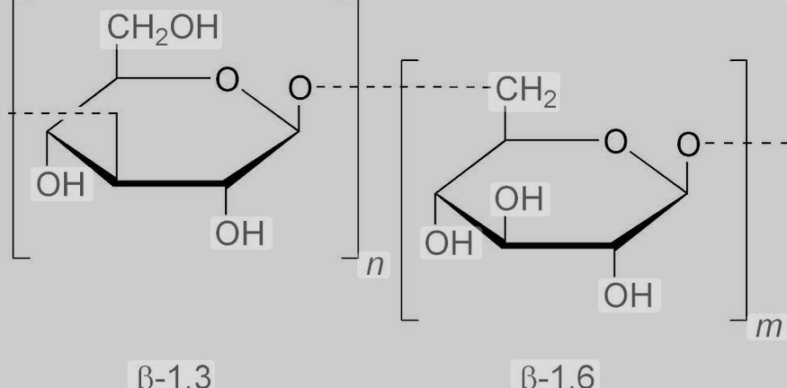
Całkowita zawartość polisacharydów wynosi we wiślaku około 84 g na 100 g s.m., z czego glukany stanowiły około 36,5 g na 100 g s.m (w tym α-glukany 2,9 g na 100 g s.m., a β-glukany 33,4 g na 100 g s.m). Najwięcej pod względem zawartości jest glukozy, natomiast o wiele mniej znajduje się mannozy, fruktozy, ramnozy czy kwasu glukuronowego.
Do związków białkowo-polisacharydowych należą PSK oraz PSP. PSK jest to β-glukan składający się z 25-38% białek oraz (1→4) β-glukanu i łańcuchów bocznych (1→6). Wśród cukrów w 74,6 % przeważa glukoza, natomiast w mniejszych ilościach znajduje się tam mannoza, galaktoza, fukoza i ksyloza. Białko to przede wszystkim kwas asparaginowy i glutaminowy.
Kompleks PSP czyli inaczej polisacharydopeptyd składa się z łańcucha polipeptydowego, z ten z kolei złożony jest z ponad 20 aminokwasów (największa ilość to kw. asparaginowy i glutaminowy) oraz części cukrowej, w której skład wchodzą glukoza, galaktoza, mannoza, arabinoza, ramnoza oraz ksyloza.
PSK jest od 1977 w Japonii roku stosowany w terapii nowotworów. Jak w przypadku innych β-glukanów przeciwnowotworowe działanie PSK opiera się na zahamowaniu lub neutralizacji substancji immunosupresyjnych oraz z aktywacją limfocytów, które regulują wytwarzanie cytokin. Ponieważ PSK ma możliwość hamowania immunosupresji, która wynika ze stosowania radio- i chemioterapii, prawdopodobnie związek ten bezpośrednio działa na komórki nowotworowe. Inne działanie polega na zwiększeniu aktywności enzymów odpowiedzialnych za neutralizację wolnych rodników – jednej z przyczyn kancerogenezy. Badania in vitro wykazały, że PSK skutecznie zatrzymuje cykl komórkowy oraz angiogenezę. Ma również możliwość wywoływania apoptozy w białaczkach czy chłoniakach oraz hamuje rozrastanie się guzów. Inne badania in vitro oraz in vivo wykazały, że PSK aktywuje limfocyty T, komórki NK oraz cytokiny (interleukiny i interferon), co świadczy o jego immunostymulującym działaniu. Udowodniono również jego działanie immunomodulujące, które polega na oddziaływaniu z receptorami toll-like, a w efekcie aktywowaniu mechanizmów odporności wrodzonej oraz pobudzenia transkrypcji genów kodujących cytokiny prozapalne.
Z kolei PSP znacząco zwiększa liczbę monocytów, natomiast w niewielkim stopniu wpływa na proliferację limfocytów T, B oraz NK. W przeciwieństwie do PSK wykazuje również właściwości nasilające odpowiedź komórkową.
Zarówno PSK jak i PSP wykazują działanie immunomodulujące, które polega na wydłużeniu okresu remisji w różnych typach nowotworów.
Badania in vivo metanolowego ekstraktu z owocników Laetiporus sulphureus wykazały, że zawarte w nim polifenole i terpenoidy zwiększają aktywność makrofagów oraz mają właściwości cytotoksyczne i antyproliferacyjne w stosunku do komórek nowotworowych. Właściwości te znalazły zastosowanie w leczeniu czerniaka skóry. Z kolei ekstrakty wodne zawierające aminokwasy i polisacharydy powodują redukcję masy nowotworu oraz zmniejszają możliwość przerzutów do płuc, poprzez hamowanie migracji i inwazji komórek nowotworowych.
Udowodniono również immunomodulujące działanie białka TVC wyizolowanego z owocników coriolusa. Białko to ma możliwość zwiększania syntezy tlenku azotu (II), stymulacji makrofagów oraz wykazuje aktywność mitogenną w stosunku do splenocytów i limfocytów.
Badanie kompleksów białkowo-polisacharydowych PSP i PSK na wirusie HIV-1 przeprowadzone metodą in vitro wykazały zahamowanie jego aktywności. Podobne badanie przeprowadzono na wirusach grypy typu A oraz Wirusach Herpex simplex typu 2. Wykazały one aktywność wobec obydwu wirusów. Kompleks PSK ma również możliwość zwalczania zakażeń na drodze odpowiedzi autoimmunologicznej wywołanych wirusem Herpex simplex, cytomegalii raz ektomelii.

