Lentinula edodes (Berk.) Pegler (shiitake) 椎茸 lub シイタケ– Twardnik japoński
Jest to grzyb z rodziny podstawczaków o brązowawym lub brązowym kapeluszu, którego średnica dochodzi do 20 cm. 3-4 centymetrowej grubości trzon ma kolor barwę nieco jaśniejszą niż kapelusz. Miąższ ma kolor biały, a smak lekko kwaskowaty.
Twardnik japoński jest to grzyb saprofityczny. Jego naturalne środowisko to Południowo-Wschodnia Azja. Owocniki wyrastają na martwych drzewach liściastych z rodzaju bukowatych. W Chinach był uprawiany już za czasów dynastii Song (960–1127). Następnie zaczęli Uprawiać go Japończycy, gdzie od kilkuset lat stosowany jest w leczeniu stanów przeziębienia, chorób układu krążenia, chorób serca, otyłości oraz w problemach związanych z okresem starzenia. Współcześnie najczęściej stosuje się go w leczeniu chorób cywilizacyjnych.
Grzyb ten jest pierwszym na świecie grzybem uprawianym pod względem ilości oraz najczęściej uprawianym po pieczarce dwuzarodnikowej. Największym producentem L. edodes są w tej chwili Japończycy.

Fot. Lentinula edodes
Twardnik japoński jest to grzyb, który zawiera dość duże ilości białka – bo około 13,4–17,5% s.m oraz 67-78% węglowodanów. Węglowodany to przede wszystkim monosacharydy (glukoza, galaktoza, mannoza, ryboza, ksyloza, ramnoza i fukoza) , disacharydy (sacharoza i maltoza), trisacharydy – rafinoza. Z punktu widzenia leczniczych właściwości … największe znaczenia mają polisacharydy, a zwłaszcza (1→3)-β-D-glukany posiadające właściwości antyoksydacyjne oraz ochronne przed promieniami UV. Polisacharydy występują wewnątrz komórek … jak i jego ścianach komórkowych. Są to między innymi α– i β–glukany, ksyloglukany, galaktany oraz mangany – rozpuszczalne w wodzie i β–glukany, poliuronidy oraz heteroglikany – nierozpuszczalne w wodzie. Związki te wykazują właściwości antybakteryjne, przeciwwirusowe, antynowotworowe, zmniejszają lub całkowicie eliminują objawy uboczne podczas radio- i chemioterapii oraz stymulują układ immunologiczny organizmu. Badania wykazały, że ekstrakty z owocników L. edodes mają działanie przeciwzapalne, niszczą wirusa Herpex simplex (wirus opryszczki) oraz działają wspomagająco przeciwko wirusowi HIV. Mają również właściwości przeciwcukrzycowe oraz przyspieszają gojenie się ran.
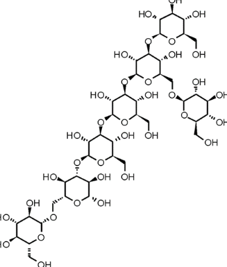
Do najważniejszych związków twardnika wykazujących aktywność biologiczną należy polisacharyd z grupy β-D-glukanów – lentian.

Ryc. Lentian
Lentian jest to związek wykazujący przede wszystkim właściwości przeciwnowotworowe. Badania przeprowadzone na mieszaninie pozyskanej z płynnych kultur twardnika japońskiego, składającej się oligosacharydów, aminokwasów, biopierwiastków, wykazały, że moduluje ona funkcję i liczbę komórek odpornościowych, w tym komórek NK oraz nasila odpowiedź limfocytów T, co prowadzi do wzrostu stężenia czynników odpowiedzialnych z apoptozę oraz hamowanie zdolności namnażania się komórek nowotworowych. Lentian najczęściej stosuje się w połączeniu z radio- lub chemioterapią oraz po usunięciu guza. Niestety wyizolowanie 31 polisacharydów z 200 kg świeżych owocników obarczone jest bardzo wysokimi kosztami.
Przeciwnowotworowe właściwości wodnego ekstraktu z Lentinula edodes zawierającego lentian udowodniono podając go za pomocą iniekcji myszom laboratoryjnym. Doświadczenie wykazało, że w 81% procentach zahamowało o wzrost nowotworów z komórek mięsaka. Związek ten również wzmaga działanie leków stosowanych w leczeniu nowotworów. Lentian podany dootrzewnowo myszom zaszczepionym komórkami FBL-3 zespołu di Guglielmoi u 7 na 8 zahamował nowotwór. Kolejne badanie wykazało, że u pacjentów z zaburzeniem komórkowej odpowiedzi immunologicznej, dożylne podawanie lentinan spowodowało przywrócenie właściwego stosunku komórek Th1 do Th2.
Ponadto lentinan jest powszechnie stosowany w leczeniu nowotworów piersi, płuc oraz przewodu pokarmowego – przede wszystkim żołądka i jelita grubego. Dobowa dawka wynosi 1 mg na dobę podawany domięśniowo lub dożylnie. Badania wykazały, że 10 mg dawki mogą osłabiać układ odpornościowy.
Kolejne badanie polegało na potraktowaniu sześciotygodniowych myszy kancerogenem N-butylo-N’-butanolonitrozoaminą oraz karmieniem ich standardową karmą. Drugiej grupie myszy również podano ten sam kancerogen, ale zamiast standardowej karmy dostawały pożywienie z dodatkiem 5% sproszkowanego shiitake. Wszystkie myszy karmione karmą standardową zachorowały na nowotwór pęcherza moczowego. U grupy, która dostawał karmę z dodatkiem twardnika japońskiego, nowotwór rozwinął się u 53% badanych myszy. Immunomodulujące efekty zostały uzyskane przez zwiększenie aktywności makrfagów oraz odpowiedź limfocytów na obniżoną poprzez zastosowanie N-butylo-N’-butanolonitrosoaminy konkawalinę A.
Lentinan w połączeniu z innymi chemioterapeutykami zwiększył również przeżywalność u pacjentów z nieresekcyjnym nowotworem żołądka. (w porównaniu d grupy kontrolnej, która przyjmowała tylko chemioterapeutyki). Jest to lek bardzo dobrze tolerowany, choć sporadycznie zdarzają się niewielkie działania niepożądane w postaci wymiotów i gorączki.
Oprócz działania antynowotworowego, lentinan wykazuje również aktywność przeciwwirusową. Odpowiedzialne jest za to białko lentin oraz lignina JLS-18, która dobrze rozpuszcza się w wodzie. Lignina zapobiega namnażaniu wirusa HIV oraz Herpes simplex. Lentinan oraz frakcje polisacharydowe natomiast mają możliwość zwiększania przeciwciał przeciwko wirusowi wywołującemu wirusowe zapalenie wątroby typu B.
Badania na wirusie grypy, ptasiej grypy, wirusa Zachodniego Nilu, brodawczaka, opryszczki, HIV oraz wirusowego zapalenia wątroby typu B i C wykazały immunostymulujące działanie ekstraktu AHCC®. Prowadzone są również badania nad skutecznością zapobiegania wirusa SARS-CoV-2.
Eksperymentalne badania na temat skuteczności działania wyciągów twardnika na wirusa HIV mają bardzo obiecujące wyniki. Przeciwwirusowe działanie obserwuje się również w stosunku do wirusów polio oraz wirusowej biegunki bydła.
Immunostymulujące właściwości posiadają również kompleks polisacharydowo-białkowy (LE), α-(1→3)-D-glukan (L-II), mannopeptyd (KS-2) oraz lignina (JLS-18). Właściwości oksydacyjne ekstraktu uzyskanego z owocników … zależały od stężenia składników aktywnych, a te z kolei zależą od stężenia ekstraktu. Za działanie antyoksydacyjne odpowiedzialne są w … frakcje polisacharydowe, β-karoten, tokoferole oraz polifenole tj. katechiny, kwas protokatechowy oraz kwas galusowy. Wykazano, że właściwości antyoksydacyjne są mniejsze niż właściwości kwasu askorbinowego.
Działanie antybakteryjne wykazano w związku zwanym kortyneliną. Natomiast z s uszu wyodrębniono substancję zwaną , Ac2P – wielkocząsteczkowy polisacharyd wykazującą silne właściwości oraz antyoksydacyjne oraz antywirusowe zwłaszcza wobec wirusa ospy. Wyodrębniono również kilkanaście substancji wykazujących działanie antybiotyczne oraz przeciwgrzybicze. Należą do nich: lentinozyna (związek purynowy), lentin (białko), lentinamycyna A i B (pochodne poliacetylenowe) oraz lentionina. Lentionina jest to egzobiopolimer, który zawiera w swojej cząsteczce siarkę, przez co odpowiada za smak shiitake.

Ryc. Lentionina
W przeprowadzonych badaniach wykazano, że ma on właściwości przeciwgrzybicze i antybakteryjne, natomiast pochodna lentininy – Bis((metylosulfonylo)metylo)disulfid ma silne działanie antybakteryjne wobec Escherichia coli, Staphylococcus aureus oraz Bacillus subtilis. Natomiast ekstrakty octanowo-etylowe oraz chloroformowe wykazują działanie bakteriobójcze wobec Prevotella intermedia i Streptococcus mutans oraz działanie bakteriostatyczne wobec bakterii Gram(+).
Boczniaki są to saprofityczne i pasożytnicze grzyby nadrzewne, które występują na obumierających drzewach lub martwym drewnie drzew liściastych – wierzbach, bukach, brzozach, topolach, grabach oraz robiniach akacjowych. Najczęściej rośnie w skupiskach, składających się z większych i mniejszych osobników. Zabarwienie oraz wielkość i kształt owocnik zależą od gatunku. Są to grzyby o delikatnym i łagodnym smaku i słabym zapachu. Większość gatunków jest jadalna. Pospolicie występuje na wszystkich kontynentach oprócz Antarktydy. Do najbardziej powszechnych gatunków boczniaka (występujących również w Polsce) należą:
- Boczniak ostrygowaty Pleurotus ostreatus (Jacq.)
- Boczniak mikołajkowy Pleurotus eryngii (DC.)
- Boczniak białożółty Pleurotus dryinus (Pers.)
- Boczniak topolowy Pleurotus calyptratus (Lindblad)
- Boczniak łyżkowaty Pleurotus pulmonarius (Fr.)
- Boczniak niebieskawy Pleurous kolumbinus Quél
- Boczniak rowkowanotrzonowy Pleurotus cornucopiae (Paulet)
Najczęściej uprawiany jest gatunek Pleurotus ostreatus, ale coraz częściej uprawia się również takie gatunki jak Pleurotus pulmonarius, Pleurotus citrinopileatus oraz Pleurotus djamor. Oprócz walorów smakowych mają one bardzo liczne właściwości prozdrowotne. Ze względu na zawarte w nich β-glukany, endo- i egzogenne aminokwasy, nienasycone kwasy tłuszczowe, makro-, mikroelementy oraz witaminy wykazują właściwości antybakteryjne, przeciwwirusowe i immunostymulujące.
Pleurotus ostreatus (Jacq.) P. Kumm. – Boczniak ostrygowaty
Jest to grzyb z rodzaju boczniaków tych, który w naturalnym środowisku występuje na wszystkich kontynentach (z wyjątkiem Antarktydy). Rośnie na martwych kłodach i pniach drzew liściastych. Owconiki wyrastają z jednej podstawy i rosną dachówkowato lub w skupiskach. Kapelusze P. ostreatus dorastają do 25 cm średnicy. Grzyb ten jest łatwy w uprawie – bez problemu rośnie na lignino- i celulozowych odpadach.

W składzie chemicznym boczniaka występują przede wszystkim węglowodany, stanowiące 6,7% świeżej masy. Wśród polisacharydów na pierwszym miejscu można wymienić glikogen, który jest zapasowym związkiem grzybów oraz nierozpuszczalne związki takie jak: celuloza, chityna oraz błonnik. Znajduje się tu również wolna glukoza, fruktoza, mannosza i ksyloza. W boczniaku ostrygowatym wykazano również obecność sacharozy, galaktozy, trehalozy, maltozy, rafinozy oraz mannitolu. Na uwagę zasługuje również białko, w którego składzie znajduje się lizyna, arginina, leucyna, kwas glutaminowy i asparaginowy. Spośród substancji mineralnych wymienić można potas, wapń, sód oraz śladowe ilości jodu, fluoru, cynku, miedzi, manganu i rtęci. Witaminy zawarte w boczniaku ostrygowatym to przede wszystkim B (B1 B2, B3, B5, B6 i B9) oraz prowitaminy D2.
Badania wykazały, że Pleuran, β-1,3-D-glukan – polisacharyd wyodrębniony z P. ostreatus degraduje mikroorganizmy chorobotwórcze poprzez zwiększenie migracji granulocytów i fagocytów do ogniska zapalnego. Ponadto pleuran może być wykorzystywany do zmniejszania poziomu cholesterolu w dyslipidemii.

Pleurotus citrinopileatus – Boczniak cytrynowy potocznie zwany „złotym boczniakiem”
Jest to gatunek występujący we wschodnie Azji. Rośnie na powalonych drzewach liściastych, rozkładając ich drewno. Skład chemiczny i wartość smakowa owocników boczniaka cytrynowego jest zmienna i zależy od klimatu, podłoża na którym rośnie oraz etapu rozwoju.

W składzie P. citrinopileatus znajdziemy około 50 g węglowodanów, 17 g białka oraz 6 g tłuszczu w 100 g s.m. Ponadto znajduje się tam w znacznych ilościach fenyloalanina oraz kwas glutaminowy. Oprócz wymienionych aminokwasów w składzie boczniaka cytrynowego wyodrębniono aż 15 innych w tym: izoleucyna, leucyna, lizyna, metionina, cysteina, tyrozyna, treonina, walina, arginina Badania wykazały, że grzyb ten ma działanie przeciwutleniające oraz zapobiega cukrzycy oraz chorobom układu krążenia (hipolipidemiczne).
Pleurotus djamor (Rumph. ex Fr.) Boedijn) – Boczniak różowy
Jest to gatunek pochodzący z rodziny boczniakowatych. Ze względu na kolor grzybni nazywany jest „Salmon mushroom” lub „Strawberry mushroom” . z czasem owocniki zmieniają kolor na pomarańczowych. Rośnie na martwych pniach drzew i kłodach oraz na starych, uszkodzonych i osłabionych drzewach żywych. Ze względu na wysokie wymagania klimatyczne, w warunkach naturalnych występuje w klimacie tropikalnym i subtropikalnym.

Owocniki boczniaka różowego zawierają aż 13 aminokwasów, wśród których dominują kwas glutaminowy, asparaginowy oraz arginina. Ponadto badania wykazały, że P. djamor w stałym składzie zawiera również flawonoidy oraz związki fenolowe. Dlatego też grzyb ten jest silnym immunostymulantem oraz wykazuje działanie antyoksydacjine i przeciwhipercholesterolemiczne.
Pleurotus pulmonarius (Fr.) Quel. – Boczniak łyżkowaty, Boczniak płucny
Ten grzyb z rodzaju boczniakowatych jest organizmem cudzożywnym, który energię pobiera z organicznych szczątków martwych. Czasem jednak pasożytuje na osłabionych i chorych drzewach – najczęściej na topolach, bukach, lipach, wierzbach oraz dębach. Rośnie najczęściej w kępach od czerwca do października. Występuje najczęściej w Ameryce północnej, choć można go spotkać na wszystkich kontynentach. W Polsce jest gatunkiem ściśle chronionym. Z powodu bardzo łatwej uprawy jest to najchętniej uprawianym gatunkiem ze wszystkich boczniaków.

Oprócz walorów smakowych P. pulmonarius posiada bardzo bogaty skład, który wpisuje go na listę żywności funkcjonalnej. Przede wszystkim zawiera bardzo dużą ilość łatwo przyswajalnego białka, a jego proteiny zawierają wszystkie aminokwasy egzogenne. Dlatego też jest chętnie spożywany przez osoby nie jedzące mięsa. Pod względem ilościowym najwięcej jest węglowodanów. Najważniejsze z nich to β–glukany (mannogalaktan, ksyloglukan, glukoksylan oraz mannogalaktoglukan), których jest aż 530 mg na 100 g s.m. Ponadto występują tu wolne sacharydy oraz węglowodany nie rozpuszczalne w wodzie takie jak: celuloza, chityna i ligniny. Lipidy zawarte w boczniaku łyżkowatym to w większości nienasycone kwasy tłuszczowe tj. kwas linolowy oraz kwas oleinowy. Boczniak płucny dostarcza również witaminy z grupy B, zwłaszcza niacynę, ryboflawine i tiaminę, ale również kwas askorbinowy i foliowy, witaminę D, Fe, P, K, Na, Mg, Zn, Cu, Mn, Ca, Mo i Se.
Liczne badania naukowe udowodniły, że P. pulmonarius zawiera w swym składzie związki, które działają immunostymulująco, antyoksydacyjnie, przeciwzapalnie, przeciwnowotworowo, przeciwbakteryjnie, przeciwbólowo, przeciwalergicznie, nicieniobójczo oraz hipoglikemicznie. Z punktu widzenia immunomodulującego, największe znaczenie mają zawarte w boczniaku łyżkowatym β-glukany. Ponadto związki fenolowe, które są silnymi antyoksydantami, mają również działanie przeciwnowotworowe oraz przeciwzapalne. Lewostatyna – odpowiednik syntetycznych statyn jest związkiem hamującym syntezę endogennego cholesterolu.
Hericium erinaceus (Bull.) Pers.) – soplówka jeżowata
Jest to 8-20, a nawet 30 cm grzyb o kulistym kształcie. Początkowo jest barwy białej, by z wiekiem zmienić ją na barwę kremowobiałą, żółtosiną a nawet brązowy. Do drzewa przyrasta bulwiastą częścią lub bokiem. Gęste kolce o długości 2-6 cm są początkowo białożółte, potem żółtopomarańczowe aż do siwobrązowego w późniejszym wieku. Mięsisty miąższ jest koloru białego, o zapachu grzybowym i słodkawym smaku.
Naturalnym środowiskiem bytowania soplówki jeżowatej jest Azja Wschodnia oraz Europa. Jest to grzyb saprofityczny lub warunkowy pasożyt. Najczęściej rośnie w lasach liściastych w martwym drewnie, ale zdarza się, że wyrasta on również w pęknięciach drewna lub dziurach po sękach. Ze względu na nadmierną eksploatację, od 2003 roku w 13 na 33 krajów w Europie (również w Polsce) wpisany jest na czerwoną listę gatunków zagrożonych. Jest to jednak gatunek, który nie ma wysokich wymagań uprawnych, dlatego można go uprawiać odpadach rolniczych jak i tanich podłożach sztucznych.

Hericium erinaceus jest to gatunek, którego działanie wspomagające na układ immunologiczny oraz wspomagający pracę mózgu został najlepiej przebadane oraz udokumentowane przez naukowców.
Ze względu na swoje właściwości przeciwgrzybicze, przeciwbakteryjne, przeciwzapalne, przeciwnowotworowe oraz przeciwcukrzycowe i antydepresyjne, soplówka jest od co najmniej tysiąca lat stosowana w Chinach jako grzyb leczniczy oraz suplement diety.
H. erinaceus mają bardzo bogatą wartość odżywczą. Zawierają około 57% węglowodanów, 22% białka, 8% błonnika pokarmowego oraz 3% oraz 3% tłuszczów w 100 g s.m.
Soplówka jeżowata podnosi komórkowa oraz humoralną odpowiedź odpornościową poprzez aktywację makrofagów oraz komórek NK, które stanową 5-15% limfocytów. Jednopasmowe białko HEP3, które wyizolowano z H. erinaceus wykazuje aktywność immunomodulacyjną w makrofagach RAW 264.7, poprzez zmniejszenie nadprodukcji czynnika martwicy nowotworów α, interleukiny (IL) -1β i IL-6 oraz zmniejszenie ekspresji indukowanej syntezy tlenku azotu. Ponadto białko to może regulować skład oraz metabolizm mikroflory jelitowej w celu aktywacji proliferacji i różnicowania limfocytów T, a przez to zwiększyć możliwości obronne układu odpornościowego. HEP3 może być również pomocny jako antynowotworowy inhibitor immunologiczny.
Podumowanie
W związku z dynamicznym rozwojem gospodarki oraz postępem naukowo-technicznym, mamy do czynienia coraz lepszymi warunkami życia. Ze względu na opiekę medyczną na wysokim poziomie wydłuża się przeciętna długość życia. Jednocześnie wzrasta ilość stresorów, jakimi są szybkie tempo życia, wymagająca i odpowiedzialna praca, zbyt małą ilość snu czy brak aktywności fizycznej. Do tego dochodzą zanieczyszczenia powietrza, chemia w żywności oraz nieprawidłowa, wysoko przetworzona dieta. Doprowadza to do coraz większej ilości chorób cywilizacyjnych – otyłości, cukrzycy typu 2, chorób układu krążenia, osteoporozy, chorób układu pokarmowego, nowotworów, zaburzeń psychicznych chorób autoimmunologicznych. Schorzenia te w tej chwili są przyczyną ponad 80% wszystkich zgonów na świecie. Z powodu możliwości szybkiego przemieszczania się po świecie, wzrosłą również możliwość przemieszczania się chorób infekcyjnych. Z powodu stresu oksydacyjnego spada odporność organizmu, co powoduje choroby u coraz to młodszych ludzi.
Ze względu na bogactwo związków występujących w grzybach jadalnych, można zaliczyć je do żywności funkcjonalnej. Żywność funkcjonalna to taka, która spożywana regularnie i w normalnych ilościach obniża ryzyko konkretnych chorób. Udowodnione działanie immunostymulujące, przeciwnowotworowe, antyoksydacyjne, przeciwwirusowe, antybakteryjne, przeciwcukrzycowe, poprawiające lipidogram oraz działające ochronnie na układ krążenia oraz wątrobę grzybów przemawia za tym, aby znalazły się w codziennej diecie każdego z nas – jako dodatki do dań lub w postaci suplementów. Jednocześnie należy pamiętać o tym, że grzyby bardzo dobrze wchłaniają metale ciężkie, więc nadmierne ich spożycie może doprowadzić do ich kumulacji i zatrucia organizmu. Ważne jest więc, aby zapoznać się ze sposobem pozyskiwania grzybów. Jeżeli są to grzyby zbierane w lesie, to warto zainteresować się, rejonem z jakiego zostały pozyskane. Jeżeli kupujemy owocniki hodowane na skalę masową – na jakim podłożu rosły. W przypadku suplementów ważne jest, aby były to wyciągi standaryzowane.
Piśmiennictwo:
- Grzyby prozdrowotne. Przyrodolecznictwo z tradycją odkryte na nowo. Praca zbiorowa; Wydawnictwo DEDAL, Warszawa 2014
- Reishi- nadzieja współczesnej medycyny. Pod redakcją Adama Kwiecińskiego; Jaworze 2004
- https://www.czytelniamedyczna.pl/3927,biostymulujace-wlasciwosci-entomopatogenicznych-grzybow-z-rodzaju-cordyceps.html
- https://www.ptfarm.pl/PF/przeglad-numerow/-/29669
- https://www.czytelniamedyczna.pl/7009,badania-wyciagow-z-owocnikow-grzyba-laetiporus-sulphureus-bull.html
- https://www.czytelniamedyczna.pl/7048,skad-chemiczny-i-aktywno-biologiczna-laetiporus-sulphureus-bull.html
- file:///C:/Users/Dell/Downloads/115_125-1.pdf
- https://www.czytelniamedyczna.pl/3829,ganoderma-lucidum-grzyb-o-cennych-waciwociach-farmakologicznych.html
- https://funguslab.pl/produkt/soplowka-jezowata-czy-pomaga-na-wszystko-e-book/
- https://www.czytelniamedyczna.pl/5818,trametes-versicolor-l-lloyd-jako-rldo-zwizklw-biologicznie-aktywnych-o-szerokim.htm
- https://rozprawy-doktorskie.bip.uj.edu.pl/ruj_item/300584/wlodarczyk_potencjal_biologiczny_wybranych_grzybow_uprawnych_2022.pdf
- https://www.czytelniamedyczna.pl/6391,wplyw-substancji-zawartych-w-pieczarkach-na-organizm-czlowieka.html
- https://wydawnictwo.pttz.org/wp-content/uploads/2015/02/02_Siwulski.pdf
- https://wbio.urk.edu.pl/zasoby/6/O-D-1061-zieba-piotr_(watermarked).pdf
- https://wydawnictwo.pttz.org/wp-content/uploads/2015/02/16_Augustin.pdf
- https://www.ptfarm.pl/wydawnictwa/czasopisma/bromatologia-i-chemia-toksykologiczna/117/-/14492
- file:///C:/Users/Dell/Downloads/12Grzyby1antyoksyd.pdf
- https://immuno-onkologia.pl/jak-dziala-uklad-immunologiczny-odpornosciowy/

